互联式虫害辨识系统(M-PDS)
发布日期:2021-06-10 点击:1889
互联式虫害辨识系统(M-PDS)

台湾海博特互联式虫害辨识系统M-PDS(M-type Pest Detection System)节省管理者在监控温室情形的时间,管理者可透过网站及行动装置随时查看害虫数量及温湿度环境信息。害虫影像辨识模型的辨识率可以达到约90%。传统人工辨识黏虫纸害虫的周期约为两周一次,而透过本影像监测系统可实时获得温室内的虫害信息达到病虫害整合管理Integrated Pest Management (IPM)之功效。



◆虫害辨识单元(PDU, Pest Detection Unit) 

1.影像系统

分辨率: 800 万像素 

FOV: 62 X 48 

2.影像辨识系统

可自动辨识及计数微型害虫数量




支持至少四种害虫:粉虱、蓟马、蚊蚋、黑翅蕈

虫害警示功能

可记忆容量:128GB



3.环境传感器

温度传感器:0-80℃±0.3℃

湿度传感器:0-100%±5%

光传感器范围:400-700nm 



1.附有快速架设固定架及吊挂点

2.通讯接口: 4G/Wifi

3.消耗电力 < 5W

4.外接电源电压 110V/220V



◆虫害预警信息服务台系统 

1.设备管理接口

可自定义设备名称及所在地

可自定义设备批注说明

权限分级功能,方便管理多场域及多使用者之使用情境

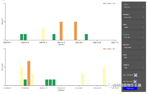
2.  虫害预警服务系统

提供每日害虫新增量及累计数据。




环境参数与害虫数量趋势比较图


实时与累计环境参数显示,包含温度、湿度与光照强度。



可导出信息:温度、湿度、光照、害虫数量

数据导出格式: csv



◆4G LTE数据传输服务 

1. 4G数据传输主机

4G网络支持频段: Band 1、 3、7、8

支持5台PDU辨识单元(于50m半径开放空间内)

须提供电力供应



◆PDU设备及4G数据传输主机安装设定

1. PDU设备安装

2. PDU设备用电力布线

3. 4G数据传输主机安装及设定

13959260407